
| ## | V1 | V2 | V3 | |||
| ## 1 | No_hit | 99626.40000 | MG100098 | |||
| ## 2 | Unclassified_Order | 5596.65000 | MG100098 | |||
| ## 3 | Caudovirales | 11968.50000 | MG100098 | |||
| ## 4 | Herpesvirales | 7.61005 | MG100098 | |||
| ## 5 | Mononegavirales | 49.08570 | MG100098 |
| ## | V1 | V2 | V3 | |||
| ## 1 | Achromobacter_phage | 0.00000 | MG100098 | |||
| ## 3 | Human_immunodeficiency_virus | 1.08351 | MG100098 | |||
| ## 4 | Silicibacter_phage | 0.00000 | MG100098 | |||
| ## 5 | Clavibacter_phage | 0.00000 | MG100098 | |||
| Serratia_phage | 0.00000 | MG100098 |
| ## | NexteraXT_SampleID | NexteraXT_RunName | NexteraXT_Virome_SampleID | |||
| ## 1 | MG100151 | NexteraXT_007 | MG100102 | |||
| ## 2 | MG100150 | NexteraXT_007 | MG100101 | |||
| ## 3 | MG100149 | NexteraXT_007 | <NA> | |||
| ## 4 | MG100146 | NexteraXT_007 | MG100098 | |||
| ## | NexteraXT_Virome_RunName | SubjectID | ||||
| ## 1 | NexteraXT_005 | 1 | ||||
| ## 2 | NexteraXT_005 | 1 | ||||
| ## 3 | <NA> | 1 | ||||
| ## 4 | NexteraXT_005 | 1 |
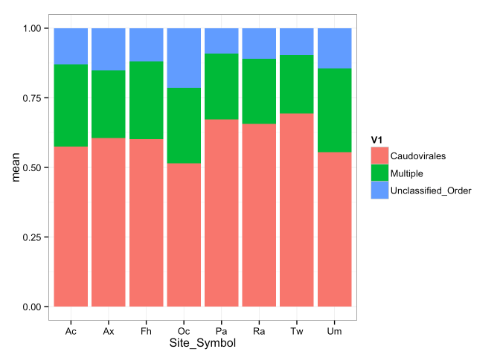
| ## | Site_Symbol | V1 | mean | |||
| ## 1 | Ac | Caudovirales | 6804.984 | |||
| ## 4 | Ac | Multiple | 3488.321 | |||
| ## 6 | Ac | Unclassified_Order | 1544.165 | |||
| ## 7 | Ac | Caudovirales | 8729.835 | |||
| ## 10 | Ac | Multiple | 3893.010 | |||
| ## 12 | Ac | Unclassified_Order | 2434.145 |
| ## | V3 | V1 | V2 | NexteraXT_SampleID | ||||
| ## 21 | MG100195 | Multiple | 6.39256e+03 | MG100171 | ||||
| ## 49 | MG100195 | Mycobacterium_phage | 1.31141e+02 | MG100171 | ||||
| ## 57 | MG100195 | Propionibacterium_phage | 1.69708e+00 | MG100171 | ||||
| ## 81 | MG100195 | Pseudomonas_phage | 1.16539e+05 | MG100171 | ||||
| ## 85 | MG100195 | Streptococcus_phage | 1.36360e+02 | MG100171 | ||||
| ## 87 | MG100195 | Human_papillomavirus | 1.89501e+03 | MG100171 |
| obs.dif | critical.dif | difference | ||||
| Exposed-Intermittently_Occluded | 10.76401 | 36.09383 | FALSE | |||
| Exposed-Occluded | 44.70092 | 23.71043 | TRUE | |||
| Intermittently_Occulded-Occluded | 55.46493 | 34.98437 | TRUE |
| obs.dif | critical.dif | difference | ||||
| Intermittently_Moist-Moist | 51.958476 | 28.54913 | TRUE | |||
| Intermittently_Moist-Sebaceous | 53.065524 | 28.43069 | TRUE | |||
| Moist-Sebaceous | 1.107048 | 25.32023 | FALSE |
| obs.dif | critical.dif | difference | ||||
| Exposed-Intermittently_Occluded | 31.54397 | 36.09383 | FALSE | |||
| Exposed-Occluded | 20.64971 | 23.71043 | FALSE | |||
| Intermittently_Occluded-Occluded | 10.89427 | 34.98437 | FALSE |
| obs.dif | critical.dif | difference | ||||
| Intermittently_Moist-Moist | 10.71380 | 28.54913 | FALSE | |||
| Intermittently_Moist-Sebaceous | 44.36156 | 28.43069 | TRUE | |||
| Moist-Sebaceous | 55.07535 | 25.32023 | TRUE |
| obs.dif | critical.dif | difference | ||||
| Exposed-Intermittently_Occluded | 58.94431 | 36.09383 | TRUE | |||
| Exposed-Occluded | 33.67678 | 23.71043 | TRUE | |||
| Intermittently_Occulded-Occluded | 25.26754 | 34.98437 | FALSE |
| obs.dif | critical.dif | difference | ||||
| Intermittently_Moist-Moist | 22.01579 | 28.54913 | FALSE | |||
| Intermittently_Moist-Sebaceous | 36.03696 | 28.43069 | TRUE | |||
| Moist-Sebaceous | 58.05275 | 25.32023 | TRUE |